Перейти к публикации
Забыли?Регистрация
Сметанка

Марафон "12 елочных игрушек" на 2016 год

Рекомендованные сообщения

Конец месяца и я уже, как обычно, бросаю все начатое, и бягом-бягом придумывать и выполнять задание, что давалось в начале месяца))

В опсчем, взялась я за очередную авантюру как раз вовремя, ибо тема нашего марафона удачно совпадает и с тематикой и с заданиями) а ввязалась я в   #новогодние_Xstitch_шары_ от Яны Горкальцевой. И под апрельским номером идет шарик с Дедом морозом.

Подготовка и процесс:

001.JPG002.JPG003.JPG

Ну и сам результат в разных ракурсах:

005.JPG007.JPG008.JPG

Размер рамки 7,5 см.

Немного изменила предлагаемый бэк очков - вместо черного, взяла металлик золотой.

Поделиться сообщением


Ссылка на сообщение

С небольшим опозданием сдаю свой ёлочный шарик, бисерный:

2016-04-28 02.36.30.jpg 2016-05-01 04.07.20.jpg 2016-05-01 06.08.27.jpg

 

За мной остались санки.

Пикусёнок, tessykat, Наta и 19 других сказали спасибо

Поделиться сообщением


Ссылка на сообщение

С добрым утром! С праздником светлой Пасхи!)

0_e16b1_591a5d20_XL.gif

 

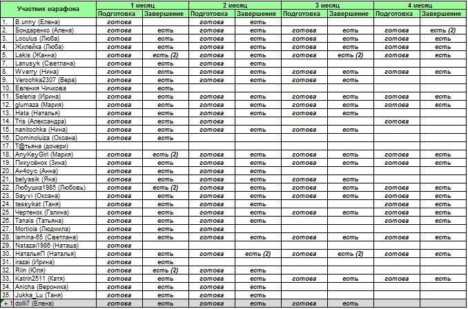
Подведем итоги месяца:

 

Список участников на 2016 год 4 месяц _2.jpg

 

Фотоотчет готовых работ за 4 месяц!

 

4 месяц итоги.jpg

Verochka2307, annu6ka, Wverry и 10 других сказали спасибо

Поделиться сообщением


Ссылка на сообщение

5 месяц МАЙ - задание!

 

До генератора чисел список был открыт на 3 пункте, перенумеровав заново список стал выглядеть так:

                                                                                        4 месяц игрушки.jpg

 

Сгенерировав на специальном сайте числа, получаем:

                                                                                         5 месяц число!.jpg

Открывается нам строчка под №8:

                                                                                       5 месяц игрушка №8.jpg

 

И это АНГЕЛ, которого можно вышить на канве/равномерке или пластиковой/перфобумаге, сшить или связать.

 

Напоминаю:

 

Задание выполняем за месяц, отчитываемся о подготовке и завершению!

Вышиваем для себя любимых.

Проявим наш талант, умение и фантазию!!!

 

По завершению месяца будет заключительное общее сообщение с фотографиями выполненных игрушек!

Наta, Пикусёнок, Loculus и 17 других сказали спасибо

Поделиться сообщением


Ссылка на сообщение

Сметанка, отличное задание)))) в моем наборчике тетенька-ангел есть)) так что будет отшит)))

но вот квакишарик я в апреле не сделала придется догонять в мае)

НатальяП, Сметанка, Lakis и 1 другой сказали спасибо

Поделиться сообщением


Ссылка на сообщение

:en:  опять я в отстающих.

Но уже  почти готов шар и санки)))

Осталось только сшить готовую игрушку.

Надеюсь, что майские праздники мне помогут.

Tris сказал(а) спасибо

Поделиться сообщением


Ссылка на сообщение

Я тоже в отстающих..но обещаю в начале месяца все недоделки доделать и показать собранные санки и готовый шарик. Задание с ангелом очень интересное!

Tris сказал(а) спасибо

Поделиться сообщением


Ссылка на сообщение

Таня, плетение из бисера не возбраняется?

Я бы хотела вот такого ангелочка сделать - image-e7182ea3aa31f9a44a75544fb20d7caad6cf1d84675d0e76b765fb7b1f447887-V_1.jpg

 

Sayvi, Anicha, Wverry и 2 других сказали спасибо

Поделиться сообщением


Ссылка на сообщение
47 минут назад, Чертенок сказал:

Таня, плетение из бисера не возбраняется?

Я бы хотела вот такого ангелочка сделать - image-e7182ea3aa31f9a44a75544fb20d7caad6cf1d84675d0e76b765fb7b1f447887-V_1.jpg

 

По заданию можно сшить или связать, сплести к сожалению нет!

Поделиться сообщением


Ссылка на сообщение
Только что, Сметанка сказал:

По заданию можно сшить или связать, сплести к сожалению нет!

Ок. Буду искать другие варианты. Но этого всё равно сделаю, в конце концов для себя игрушки делаю

Anicha, Ан4оус, belyasik и 2 других сказали спасибо

Поделиться сообщением


Ссылка на сообщение
17 минут назад, Lanusyk сказал:

А вот такого можно?

Он вышивается

 

1464-riolis.jpg

вышить можно)

Поделиться сообщением


Ссылка на сообщение

вот и славненько)))))

Попробую поработать с и бисером и с фетром и с канвой в одном наборе

belyasik сказал(а) спасибо

Поделиться сообщением


Ссылка на сообщение

Всем привет!

 

С наступающим праздником Днем Победы!

 

Моя подготовка к вышивке АНГЕЛFullSizeRender (1).jpg

Egelia, Sayvi, Г@лина и 13 других сказали спасибо

Поделиться сообщением


Ссылка на сообщение

dolli7, милый ангелочек!

dolli7 сказал(а) спасибо

Поделиться сообщением


Ссылка на сообщение

dolli7, Леночка! Ты такая молодец! Мы ещё раскачиваемся, а ты уже готовую игрушку показываешь. Красота!!!!

Поделиться сообщением


Ссылка на сообщение

Tanais, lamina-65, спасибо) 

 

Но вот шарик у меня не готов))  только материалы собраны)) 

Поделиться сообщением


Ссылка на сообщение

Девочки, я возвращаюсь к вам. Пропущенные игрушки буду шить в перерывах, а пока начну майского ангела.

Вышивать буду такого:

angel-4.jpg

Это подготовка:

DSC03871.JPG

Нитки есть не все, но на первые крестики хватит, потом докуплю.

Lakis, Verochka2307, Tanais и 19 других сказали спасибо

Поделиться сообщением


Ссылка на сообщение

Sayvi, Оксаночка!  Какая ты молодец!  :give_rose:   Ангел прелестен! :jc_cupidboy:

Sayvi сказал(а) спасибо

Поделиться сообщением


Ссылка на сообщение

А я в этот раз решила не вышивать ангелочка, а связать крючком

 

Вот это моя подготовка    подготовка к ангелочку.JPG     и вот уже готовый ангелочек    ангел крючком на 16.05.16г.png

Наta, Пикусёнок, НатальяП и 22 других сказали спасибо

Поделиться сообщением


Ссылка на сообщение

lamina-65, Светлана, хорошенький ангелочек получился, воздушный.

Я тоже в этот раз решила связать, уже присмотрела схемки - на след.выходных займусь.

Lakis и lamina-65 сказали спасибо

Поделиться сообщением


Ссылка на сообщение
3 часа назад, lamina-65 сказал:

А я в этот раз решила не вышивать ангелочка, а связать крючком

Свет, очень интересный, воздушный ангел вышел. А какого он размера и как думаешь его дальше оформлять - приклеивать на твердую основу или крахмалить для жесткости? или он и так жесткий получился?

Поделиться сообщением


Ссылка на сообщение

Жилейка,  Любочка, он довольно таки высокий ангел. Сейчас померила -15 см высотой. Буду крахмалить. А так...  мягкая тряпочка  

Поделиться сообщением


Ссылка на сообщение

Создайте аккаунт или войдите в него для комментирования

Вы должны быть пользователем, чтобы оставить комментарий

Создать аккаунт

Зарегистрируйтесь для получения аккаунта. Это просто!

Зарегистрировать аккаунт

Войти

Уже зарегистрированы? Войдите здесь.

Войти сейчас

  • Сейчас на странице   0 пользователей

    Нет пользователей, просматривающих эту страницу.

Правила форума
Поиск в
×